How to calc velocity 2025
How to calc velocity 2025, How to calculate initial velocity 2025
$0 today, followed by 3 monthly payments of $13.33, interest free. Read More
How to calc velocity 2025
How to calculate initial velocity
What is Velocity Definition SI Unit Examples Applications
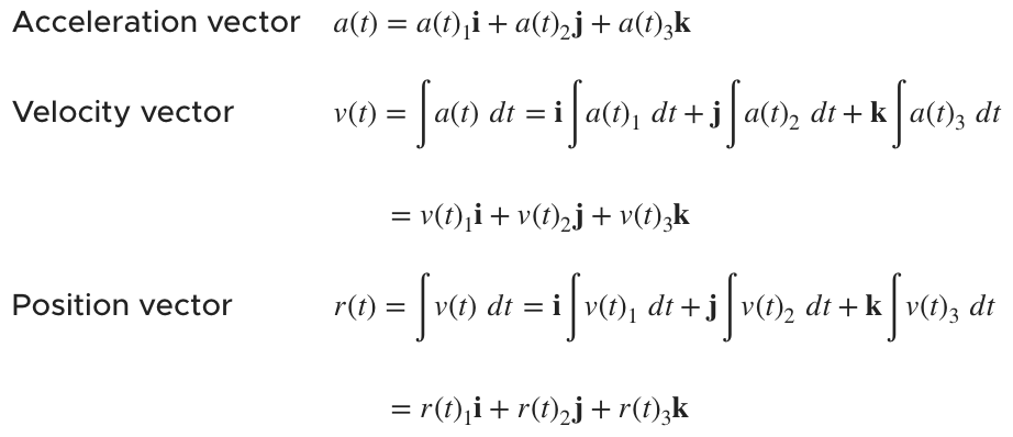
How to find velocity and acceleration vectors Krista King Math
What Is the Formula for Velocity HowStuffWorks
4 Ways to Calculate Velocity wikiHow
Calculate Average Velocity
aquaklearofnewjersey.com
Product Name: How to calc velocity 2025What Is the Formula for Velocity HowStuffWorks 2025, 4 Ways to Calculate Velocity wikiHow 2025, Calculate Average Velocity 2025, How to Calculate a Velocity Using the Equation of Continuity 2025, 4 Ways to Calculate Velocity wikiHow 2025, Finding the Magnitude of Velocity of a Journey 2025, Calculate Average Velocity YouTube 2025, Velocity Calculator Inch Calculator 2025, 4 Ways to Calculate Velocity wikiHow 2025, Velocity Formula Equation in Physics for Class 9 2025, Velocity Definition Units Formula Examples 2025, Velocity Calculator v u at 2025, Velocity Calculator Definition Formula 2025, How to Find the Velocity Function of an Object Given its Velocity 2025, How can we find velocity from momentum formula Quora 2025, VELOCITY TIME DISTANCE CALCULATOR 2025, trigonometry Physics Finding velocity with angle and speed 2025, Average Velocity and Instantaneous Velocity 2025, How to Calculate the Vector Components of an Object s Velocity in 2025, How to Calculate Sales Velocity Per Opportunity Brainshark 2025, How to calculate initial velocity if you are given time distance 2025, Magnitude of Velocity Calculator Calculator Academy 2025, How to find magnitude of velocity from differentiation 2025, Velocity of Money Formula Calculator Examples with Excel Template 2025, Finding the Minimum Velocity of a Particle 2025, Velocity triangle formula. Speed distance and time formula 2025, vectors How to calculate velocity from speed current location 2025, Main Difference Between Speed and Velocity YourDictionary 2025, 4 Ways to Calculate Velocity wikiHow 2025, Average Velocity Calculator 2025, Average Velocity Definition Formula Calculation Lesson 2025, How to Find the Velocity of an Object before Collision dummies 2025, How to calculate initial velocity 2025, What is Velocity Definition SI Unit Examples Applications 2025, How to find velocity and acceleration vectors Krista King Math 2025.
- 
                        
                            Next Day Delivery by DPD
                        
                        
                            Find out more
                        
                        Order by 9pm (excludes Public holidays) $11.99 
- 
                        
                            Express Delivery - 48 Hours
                        
                        
                            Find out more
                        
                        Order by 9pm (excludes Public holidays) $9.99 
- 
                        Standard Delivery $6.99 Find out more Delivered within 3 - 7 days (excludes Public holidays). 
- 
                        Store Delivery $6.99 Find out more Delivered to your chosen store within 3-7 days Spend over $400 (excluding delivery charge) to get a $20 voucher to spend in-store
- 
                        International Delivery Find out more International Delivery is available for this product. The cost and delivery time depend on the country. 
You can now return your online order in a few easy steps. Select your preferred tracked returns service. We have print at home, paperless and collection options available.
You have 28 days to return your order from the date it’s delivered. Exclusions apply.
View our full Returns and Exchanges information.
Our extended Christmas returns policy runs from 28th October until 5th January 2025, all items purchased online during this time can be returned for a full refund.
Find similar items here:
How to calc velocity 2025
- how to calc velocity
- paper hats how to make
- soft server
- pencil heels for girls
- ice cream unicorn
- how to do a messy bun
- hp deskjet 3760
- delivered meals healthy
- how to origami dragon
- ink helmet
 
                            
                         
                            
                         
                            
                         
                            
                        